ACM比赛划水记录
Test!Test! “ ” 比赛!比赛!
2021.8.28 ccpc网络赛
众所周知 2021年8.28没有CCPC网赛
只有CCPC“网络”选拔赛
涨姿势了
点击查看思路
当时想到了平方差凑数,可惜差一步。不难发现,x方-(x+1)方-(x+2)方+(x+3)方=4;那么我们直接让n%4,接下来只要凑出0,1,2,3即可,0不用考虑,1的话就是1方,2的话就是4方-3方-2方-1方,3的话就是2方-1方。于是我们就可以凑出n了。注意到这里k最大为n+2,不过我们按照这个方法凑出来的刚好最大长度也是n+2。
!!!!!!!
注意下这里的输出,因为输出最多有1e6,用字符串输出会更快
printf输出指定长度字符串的方法是:printf(“%.*s\n”,l,ar);很离谱的是用这个输出 C++WA,G++AC。。。
字符串输出指定长度,除了用上面这种不太靠谱的方法,还有就是用string,对于string,可以直接加上一个字符串”1001”,比一个个push_back快一些.
还有就是对于分情况对数赋值,可以直接用个数组来弄,就像方向数组,比ifelse代码简介不少。
可以对比下两个代码,就知道代码量的区别了。
本弱鸡代码:
1
2
3
4
5
6
7
8
9
10
11
12
13
14
15
16
17
18
19
20
21
22
23
24
25
26
27
28
29
30
31
32
typedef long long ll;
const ll maxn=1e6+11;
char ar[maxn];
int main(){
ll t;
scanf("%lld",&t);
while(t--){
ll n;
scanf("%lld",&n);
ll cnt=n/4;
ll ys=n%4;
ll tmp=0;
if(ys==0){ ; }
else if(ys==1){
ar[tmp++]='1';
}
else if(ys==2){
ar[tmp++]='0',ar[tmp++]='0',ar[tmp++]='0',ar[tmp++]='1';
}
else if(ys==3){
ar[tmp++]='0',ar[tmp++]='1';
}
for(ll i=0;i<cnt;i++){
ar[tmp++]='1',ar[tmp++]='0',ar[tmp++]='0',ar[tmp++]='1';
}
printf("%lld\n",tmp);
printf("%.*s\n",tmp,ar);
}
return 0;
}
高质量代码
1
2
3
4
5
6
7
8
9
10
11
12
13
14
15
16
17
18
19
20
21
22
using namespace std;
int t, n;
const int ki[] = {0, 1, 4, 2};
const string ti[] = {"", "1", "0001", "01"};
int main() {
ios::sync_with_stdio(false), cin.tie(0), cout.tie(0);
cin >> t;
while (t--) {
cin >> n;
string ans = ti[n % 4];
int k = ki[n % 4];
while (n >= 4) {
ans += "1001";
k += 4;
n -= 4;
}
cout << k << endl << ans << endl;
}
return 0;
}
!!!!!!!
经典套路-好题
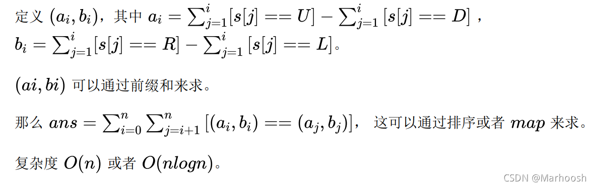
Command Sequence HDU - 7108
题意,给一个只含UDRL的长度为n<1e5的串,问有多少子串的U个数==D个数,R个数==L个数,(个数可以为0).
点击查看思路
又是一道子串的题目,前缀和就是为子串量身定制的吧。
前缀和妙用,真的太妙了。感觉这道题可以延伸一下,但是现在在寝室,有人打游戏太吵了,静不下心来,延伸不了。。

!!!!!!!!!!!!!!!!!!!!!
原来map可以pair到value,牛啊,map
!!!!!!!!!!!!!!!!!!!!!
2021.8.29 混合组队赛
676 C Vasya and String
题意:给你一个长度为n<1e5的只含a,b的串,可以允许修改k个位置,问能得到最长的“一样串”的长度是多少。“一样串”即只含a或只含b的串。
点击查看思路
先讨论只含a的情况,尺取即可,b同理。
1469 B Red and Blue
题意:给你两个长度分别为n和m的整数列a和b,将a和b数列并成一个数列c,即c的长度为n+m,要求数列c中,对于a的每个数保持原先a的顺序,b同理。问c的最大前缀和。
点击查看思路
贪心,整数不用多说,对于a中的负数,只要后面有正数能使其和为正,则加上这个负数,无则不加。b同理。
巧用,看思路
988 C Equal Sums
题意:给你k<2e5个数列,每个数列长度为ni,数据保证ni的和<2e5,每个数的范围为−1e4 to 1e4。从中任意选择两个数列,两个数列必须减去有且仅有各自的一个数后,若两个数列的和相等,则输出这两个数列的序号ni,和减去的数。若不存在这样的两个数列,输出NO。结果多组情况输出一组即可,ni可以任意顺序输出。
点击查看思路
我一开始想复杂了,想着这就是不能有重复元素,我就先把每个数列去个重,然后再把他们都弄到一个数列里面,排个序看是否有重复元素。
简单方法就是,判断有无重复元素,直接看a[i]是否等于1就可以了嘛,但这道题由于i最大为1e9,所以需要hash或者map,平常的map是map[i]=k,然后再拉个结构体数组存数列ni和x,
!!!!!!!!!!!!!
这里有个简单方法就是直接将i映射为pair,pair存的就是ni和x,举一反三我们以后也可以将i map到一个结构体
注意下这里的map的赋值操作:mp[sum]=make_pair(i,j);,结构体的话直接=号赋值就可以了。
!!!!!!!!!!!!!
总结
做了三个签到题,其余全靠队友带飞,数学大佬hly,图论大佬ly。这次比赛体验良好,跟队友配合的都挺好的。刚好我们看的题,都是自己擅长的(滑稽
还有代码能力有待加强,主要是细节错误挺多,写个尺取都要wa。。。
2021.9.5 线段树专题测试
有些题能模拟,但是纯模拟会很麻烦,细节很多,基本写不了,而且关键自己写着写着会把自己心态写炸。为避免这种模拟题写到一半发现写不了的尴尬情况,应该提前想好大致思路,确定能写在写。
2021.9.10 2021第十一届山东省大学生程序设计竞赛
比赛
咳咳,蒟蒻,全靠hly大佬带飞
过了5道,CDGHM 一队过了7道,剩下的两道有机会出的,说明运气好,把会做的都做了还是能拿金的。
F题字符串思路想到了,可惜没有码出来。
B题想复杂了,一看要算n*n个gcd,就以为是自己没学过的知识,不敢下笔了,以后不要怕!至少要分析一波,分析不出来就算了,不能分析都不分析就放弃。
因为这道题n很大的时候,是有特殊情况,可以直接输出的。。。
思维题可还行
C Cat Virus
题意:给定一棵树,黑白染色方案,满足一个黑点的子树都是黑点,白点任意。你现在构造一棵树,使得它的染色方案数为K(1<=k<=1e18)
点击查看思路
思想:按hly的思路,首先是想到一条链,然后这条链长度为n,方案数就是n+1,但不过K太大,输出会超限。
然后想到以1为根节点,其下有n个**子树**,大佬的想法就是不一样,直接子树,统一处理。
然后这n个子树,每个子树的涂色方案为ai,那么整棵树的方案就为a1到an的乘积+1。
按照这个思路,我们一开始以1为根节点,剩余方案数为k-1,如果k-1%2==0,则在1下增加一个子节点,如果方案数ki%2仍==0,则继续在1下增加子节点,
当遇到奇数时,我们则想到一开始的k-1,所以我们就以这个子结点为根结点,开一个新树,递推即可。
DG签到题,H二维背包,表示不会。。
思维题有点意思
M Matrix Problem
题意:给定0/1矩阵C,n行m列,(n,m<500)构造两个矩阵A,B,要求A,B各自的1都互相连通,并且对于C中所有位置,若是1,则A,B对应位置必须都是1,否则,A为0则B为1,B为0则A为1。保证C阵的边框都是0。
点击查看思路
思路:这种构造A,B矩阵输出的题,一般是按规律构造的,几乎不可能想着模拟去构造,太麻烦,比如本题。
注意到这个保证边框都是0没,可以从这里做文章,把A最左边一列是1,B最右边一列是1,然后行分奇偶全染成1。
最小生成树+GCD可还行
B Build Roads
题意:给定一个n<2e5个点的无向完全图,i和j之前的边权是gcd(ai,aj),数组ai范围在[l,r]<2e5,保证数组a随机,求MST。
点击查看思路
思路:考虑素数分布, int 范围内两个素数之间的最大间距不到几百,(算了一下,是282,1e9范围内素数50847534个)而如果随出来的数组里有素数答案就是n-1
了,所以[l,r]或n范围很大时答案就是n-1,但注意如果[l,r]范围很大n很小,那么就得gcd(a1....an)乘(n-1)。范围很小的时候暴力一下就行了。还需要稍微注意一下l==r的情况。
2021.9.12 排位赛
又是爆0的一天呢
DFS BFS傻傻分不清
C Brexit
题意:给一个n<1e5个点,m<1e5条边的无向图,删去其中某个点,如果剩余的点中,删去的边数*2>=初始有的边数,则删去这个点,如此连环反应,问最终x点是否会被删去。
点击查看思路
思路:一开始想着写dfs,因为dfs简单些,然后就dfs哇了n遍,改成bfs一遍过了。究其根本原因是dfs的搜索方式与这道题不符,所以这道题用dfs是出不了的。这道题很明显是得用bfs搜的。
Dijskra好题
E Charles in Charge
题意:1e5级别的图,求从a点到b点的所有不大于l的路中,每条路的最大边长的最小值。
点击查看思路
思路:很明显直接dfs搜会超时,正确做法二分边长,对于二分的边长mid,将边长小于mid的边来建图。
2021 ICPC 网赛 第二场
L题思路想到了,可惜最后只有半个小时来码代码,加上不熟,不然能出😂
思维题
题意

点击查看思路
思路:就正常的二进制按位加法,然后分类讨论下不同符号位对应的本位和进位情况。
1 | /* |
Segment Tree beats 维护一个数列
题意


这里对于100以内的25个质数的维护,可以状态压缩,即用一个int的一位二进制表示改质数是否存在。也就是再拉个线段树维护25个质数。
1 |
|
2021.9.26排位赛
J题最后10几min做出来了,而且是压着时限过的,真是刺激。
思维题(easy-medium)
Elegant Construction HDU - 5813;
题意:给一个有向图,n<1e3个点,接下来n个数表示与第i个点直接或间接相连的点的个数。
点击查看思路

模拟-思维(easy-medium)
https://acm.hdu.edu.cn/showproblem.php?pid=5818
解题思路挺多的:
1、标解:

2.启发式合并
合并的时候都是选择将小的栈合并到大的
3、指针前驱
2021.10.17排位赛
C题题目老长了,定义了一堆变量,结果全是烟雾弹,真正有用的话就一句,晕晕
下次不要再被长题面吓到了
2021.10.18 排位赛 2020ICPC上海站
1.B题是个思维构造题,没想到
2.D题有两种做法
1.二分
可以二分时间,也可以二分路程。
2.分类讨论
不过这个分类讨论挺复杂的,惊讶于这么复杂的分类讨论,我们当时居然过了!!!
真的是十分Amazing,主要得益于当时分类讨论的思路清晰,看来只要思路清晰,啥题都能做出来
而且一道题目真的有多种解法,比如这道题。
